cartouche ECN WORKSHOP
-

Uric acid: a surprising protector of large joints? Lower incidence of large joint replacements among individuals with higher SUA

 

Janis Timsans, Raine Tiihonen, Jenni Kauppi, Vappu Rantalaiho, Anne Kerola, Kia Hakkarainen, Tiina Lehto, Hannu Kautiainen, Markku Kauppi

 

Affiliation(s):

Wellbeing Services County Of Päijät-häme, Päijät-häme Central Hospital, Department Of Rheumatology, Lahti, Finland

 

 

Background: Serum uric acid (SUA) has been associated with a range of health conditions, including osteoarthritis (OA), although previous findings have been inconsistent [1]. Evidence on the relationship between SUA and OA in large joints is particularly limited, and the potential link between SUA levels in persons without gout and the need for large joint replacements (LJRs) has not been previously explored. This study aimed to investigate the association between SUA levels and the incidence of LJRs in a population-based cohort.

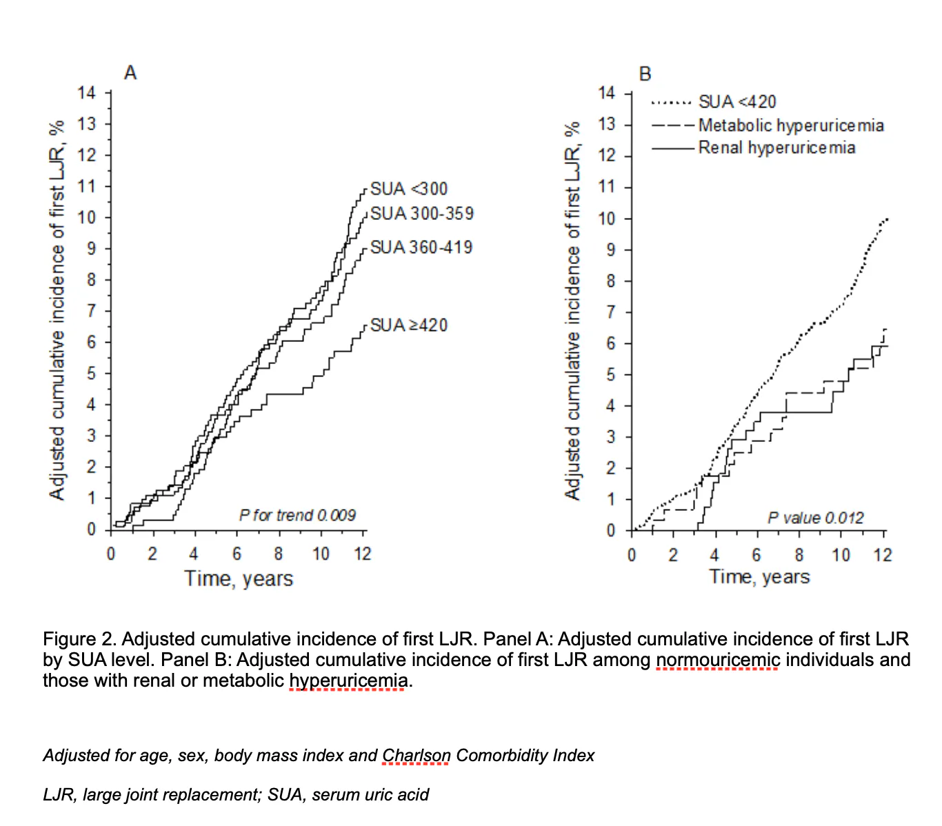
Methods: Data were drawn from the GOAL (GOod Ageing in Lahti region) study, a prospective cohort of individuals aged 52–76 years from Finland. Baseline assessments included SUA levels, other laboratory parameters, self-reported comorbidities, medication use, lifestyle factors, and socioeconomic variables. Information on LJRs was retrieved from the National Care Register for Social Welfare and Health Care. After excluding participants with prior LJRs or cancer diagnoses, 2,403 individuals (1,115 women and 1,288 men) were included. The incidence of large joint arthroplasty over a 12.7-year follow-up was analyzed in relation to SUA levels, adjusting for age, sex, body mass index (BMI), and Charlson Comorbidity Index (CCI). Hyperuricemia was classified as renal when SUA was ≥420 μmol/L and estimated glomerular filtration rate (eGFR) was ≤67 ml/min/1.73 m² (25th percentile), and as metabolic when SUA was ≥420 μmol/L with eGFR >67 ml/min/1.73 m².

Results: During the 12.7-year follow-up, a total of 303 LJRs were performed, including 133 hip, 161 knee, 8 shoulder, and 1 elbow replacements; no ankle replacements were reported. In models adjusted for age, sex, BMI, and CCI, higher SUA levels were associated with a lower incidence of LJRs (Figure 1). Analysis of incidence rate ratios across SUA categories (<300, 300–359, 360–419, ≥420 µmol/L) revealed a statistically significant decreasing trend in LJRs incidence with increasing SUA (p = 0.006, Table 1). Although the adjusted cumulative incidence of first LJR decreased with higher SUA, there was no substantial difference between individuals with metabolic versus renal hyperuricemia (Figure 2).

Conclusions: In this population-based cohort, higher SUA levels were associated with a lower likelihood of LJR during 12.7 years of follow-up, a finding not previously reported. No substantial difference in LJR risk was observed between individuals with metabolic and renal hyperuricemia. Further studies are needed to determine whether uric acid exerts a protective effect on cartilage in large joints or whether the observed association reflects residual confounding. Replication in independent cohorts and mechanistic studies examining the role of uric acid in cartilage health are warranted.

References: [1] Ma CA, Leung YY. Front Med (Lausanne) 2017;4:225.

 

 

 

 

 

Back